SOEC Co-Electrolysis#
This example shows a 1D isothermal SOEC (Solid oxide electrolyzer cell) model for converting carbon dioxide and steam into syngas.
The operating parameters chosen here are not necessarily realistic. For example, a utilization of 0.95 causes issues with the formation of solid carbon.
import gaspype as gp
from gaspype.constants import R, F
import numpy as np
import matplotlib.pyplot as plt
Calculate equilibrium compositions for fuel and air sides in counter flow along the fuel flow direction:
utilization = 0.95
air_dilution = 0.2
t = 700 + 273.15 # K
p = 1e5 # Pa
fs = gp.fluid_system('H2, H2O, O2, CH4, CO, CO2')
feed_fuel = gp.fluid({'H2O': 2, 'CO2': 1}, fs)
o2_full_conv = np.sum(gp.elements(feed_fuel).get_n(['C' ,'O']) * [-1/2, 1/2])
feed_air = gp.fluid({'O2': 1, 'N2': 4}) * o2_full_conv * utilization * air_dilution
conversion = np.linspace(0, utilization, 128)
perm_oxygen = o2_full_conv * conversion * gp.fluid({'O2': 1})
fuel_side = gp.equilibrium(feed_fuel - perm_oxygen, t, p)
air_side = gp.equilibrium(feed_air + perm_oxygen, t, p)
Plot compositions of the fuel and air side:
fig, ax = plt.subplots()
ax.set_xlabel("Conversion")
ax.set_ylabel("Molar fraction")
ax.plot(conversion, fuel_side.get_x(), '-')
ax.legend(fuel_side.species)
fig, ax = plt.subplots()
ax.set_xlabel("Conversion")
ax.set_ylabel("Molar fraction")
ax.plot(conversion, air_side.get_x(), '-')
ax.legend(air_side.species)
<matplotlib.legend.Legend at 0x7fb5e95b3cb0>


Calculation of the oxygen partial pressures:
o2_fuel_side = gp.oxygen_partial_pressure(fuel_side, t, p)
o2_air_side = air_side.get_x('O2') * p
Plot oxygen partial pressures:
fig, ax = plt.subplots()
ax.set_xlabel("Conversion")
ax.set_ylabel("Oxygen partial pressure / Pa")
ax.set_yscale('log')
ax.plot(conversion, np.stack([o2_fuel_side, o2_air_side], axis=1), '-')
ax.legend(['o2_fuel_side', 'o2_air_side'])
<matplotlib.legend.Legend at 0x7fb5e9411400>

The high oxygen partial pressure at the inlet is in reality lower. The assumption that gas inter-diffusion in the flow direction is slower than the gas velocity does not hold at this very high gradient. However often the oxygen partial pressure is still to high to prevent oxidation of the cell/electrode. This can be effectively prevented by recycling small amounts of the hydrogen riche output gas.
Calculation of the local nernst potential between fuel and air side:
z_O2 = 4
nernst_voltage = R*t / (z_O2*F) * np.log(o2_air_side/o2_fuel_side)
Plot nernst potential:
fig, ax = plt.subplots()
ax.set_xlabel("Conversion")
ax.set_ylabel("Voltage / V")
ax.plot(conversion, nernst_voltage, '-')
print(np.min(nernst_voltage))
0.3130521934494483

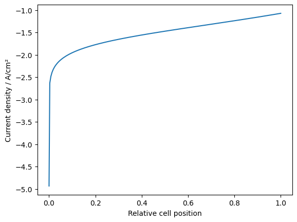
The model uses between each node a constant conversion. Because current density depends strongly on the position along the cell the constant conversion does not relate to a constant distance.
To calculate the local current density (node_current) as well as the total cell current (terminal_current) the (relative) physical distance between the nodes (dz) must be calculated:
cell_voltage = 1.3 # V
ASR = 0.2 # Ohm*cm²
node_current = (nernst_voltage - cell_voltage) / ASR # A/cm² (Current density at each node)
current = (node_current[1:] + node_current[:-1]) / 2 # A/cm² (Average current density between the nodes)
dz = 1/current / np.sum(1/current) # Relative distance between each node
terminal_current = np.sum(current * dz) # A/cm² (Total cell current per cell area)
print(f'Terminal current: {terminal_current:.2f} A/cm²')
Terminal current: -1.53 A/cm²
Plot the local current density:
z_position = np.concatenate([[0], np.cumsum(dz)]) # Relative position of each node
fig, ax = plt.subplots()
ax.set_xlabel("Relative cell position")
ax.set_ylabel("Current density / A/cm²")
ax.plot(z_position, node_current, '-')
[<matplotlib.lines.Line2D at 0x7fb5e9211be0>]
